공무원 봉급표 2024 교사 월급
2024년을 맞아 공무원 봉급표와 교사 월급에 대한 관심이 높아지고 있습니다. 공무원 봉급표 2024와 교사 호봉표는 다양한 공무원 직군의 급여 체계를 한눈에 파악할 수 있도록 도와줍니다. 일반직공무원부터 특정직, 별정직, 전문경력관, 경찰 및 소방공무원, 군인, 헌법연구관 등 다양한 분야의 공무원들이 포함된 이 봉급표는 각 직군의 업무 특성과 난이도, 사회적 중요성을 반영하여 차별화된 급여 체계를 갖추고 있습니다. 이러한 체계는 공무원들이 자신의 전문성과 업무 수행에 대한 적절한 보상을 받을 수 있도록 설계되었습니다.


이번 포스팅에서는 2024년 공무원 봉급표와 교사 월급에 대해 자세히 알아보고, 각 직군별 급여 구조와 급여 구성 요소, 봉급표 확인 방법 등을 소개하겠습니다.
직군별 봉급 체계
일반직 공무원 봉급표 2024

일반직 공무원은 정부의 다양한 행정 업무를 수행하는 핵심 인력으로, 2024년 봉급표는 직급과 호봉에 따라 기본급이 결정됩니다. 경력이 쌓일수록 호봉이 상승하며, 이에 따라 기본급도 점진적으로 증가합니다. 또한, 업무의 성격과 난이도에 따라 다양한 수당이 추가로 지급되어 공무원의 경제적 안정성을 높이고 있습니다.
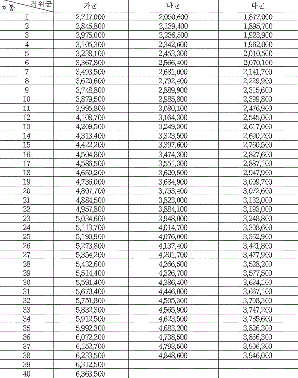
교육직 공무원 봉급표 2024 교사 월급


교육직 공무원은 유치원, 초등학교, 중학교, 고등학교 교원을 포함하며, 교육 현장에서 중요한 역할을 담당합니다. 2024년 교사 호봉표는 교육 경력과 교육의 중요성을 반영하여 책정되었으며, 계급이 아닌 호봉에 따른 봉급 체계를 채택하고 있습니다. 이를 통해 교사들은 자신의 교육 경력에 따라 안정적인 급여를 받을 수 있습니다.
공안직 및 별정직 공무원 봉급표 2024

공안직 공무원과 별정직 공무원은 특정한 업무나 임무를 수행하는 공무원들로, 그들의 급여는 업무의 특수성과 중요도에 따라 결정됩니다. 특히 공안직 공무원은 높은 전문성과 책임을 요구하는 업무를 수행하기 때문에 일반직 공무원보다 높은 급여를 받는 경우가 많습니다. 이러한 급여 체계는 공안직 공무원들이 안정적으로 업무를 수행할 수 있도록 지원합니다.
전문경력관 및 연구직 공무원 봉급표 2024



전문경력관과 연구직 공무원은 높은 전문성을 요구하는 직무를 수행하며, 이들의 봉급은 경력과 전문성에 따라 결정됩니다. 국가 정책 개발과 연구 활동에서 중요한 역할을 하는 이들은 그에 상응하는 보상을 받으며, 지속적인 경력 개발을 통해 더욱 높은 급여를 누릴 수 있습니다.
경찰 및 소방공무원 봉급표 2024

경찰과 소방공무원은 국민의 생명과 재산을 보호하는 중요한 임무를 맡고 있습니다. 2024년 급여 체계는 위험한 업무 환경과 높은 책임감을 반영하여 기본급 외에도 다양한 수당과 복리후생이 포함됩니다. 소방관의 경우 특히 위험 수당이 추가로 지급되어 그들의 헌신과 노고를 인정받고 있습니다.
군인 봉급표 2024

군인과 헌법연구관은 국가 안보와 법적 연구를 담당하는 공무원들로, 그들의 봉급은 높은 책임감과 업무의 중요성을 반영하여 책정됩니다. 군인의 경우, 위험한 임무 수행과 관련된 다양한 수당이 추가로 지급되어 그들의 헌신을 보상받고 있습니다. 헌법연구관 또한 전문적인 연구 활동을 통해 국가의 법적 기반을 강화하는 역할을 수행하며, 이에 따른 적절한 급여가 지급됩니다.


공무원 급여의 구성 요소
공무원의 급여는 기본급, 각종 수당, 복리후생비로 크게 구성됩니다.
기본급
기본급은 공무원의 직급과 경력(호봉)에 따라 결정됩니다. 경력이 쌓일수록 호봉이 상승하며, 이에 따라 기본급도 증가합니다. 이는 공무원들의 지속적인 경력 발전과 안정적인 생활을 보장하는 중요한 요소입니다.
각종 수당
수당은 공무원의 근무 조건이나 특수한 업무 조건에 따라 지급됩니다. 예를 들어, 야간 근무나 위험한 업무를 수행하는 공무원에게는 별도의 수당이 지급됩니다. 또한, 가족 수당, 자녀 학비 보조 수당, 주거 수당 등이 포함되어 공무원의 생활 안정을 도모합니다.
복리후생비
복리후생비는 공무원의 생활 안정과 복지를 위한 다양한 지원을 포함합니다. 건강 유지 지원, 교육비 지원, 주거 환경 개선 비용 등이 이에 해당하며, 이는 공무원들의 생활 수준 향상과 복지 증진에 기여합니다.
공무원 봉급표 확인 방법
공무원 봉급표를 확인하고자 할 때는 인사혁신처 홈페이지를 방문하면 됩니다. 본인이 속한 직군 또는 관심 있는 직군을 선택함으로써 해당 직군의 봉급표를 쉽게 살펴볼 수 있습니다. 이는 공무원으로서의 경력 발전을 고려하거나, 특정 공무원 직군에 입직을 희망하는 사람들이 급여 수준을 미리 파악하는 데 유용합니다.
결론
2024년 공무원 봉급표와 교사 월급은 다양한 직군의 특성과 업무 난이도, 사회적 중요성을 반영하여 체계적으로 설계되었습니다. 이러한 급여 체계는 공무원들이 안정적인 생활을 영위하며, 전문성을 발휘할 수 있도록 지원하는 중요한 요소입니다. 공무원으로서의 경력 발전을 꿈꾸는 이들이나 현재 공무원으로 근무 중인 분들에게 2024년 봉급표는 유용한 정보가 될 것입니다. 인사혁신처 홈페이지를 통해 자세한 봉급표를 확인하고, 자신의 위치와 미래 경력 계획을 세우는 데 참고하시기 바랍니다.
키워드: 공무원 봉급표 2024, 교사 월급, 일반직 공무원, 교육직 공무원, 공안직 공무원, 별정직 공무원, 전문경력관, 연구직 공무원, 경찰 급여, 소방관 월급, 군인 봉급, 헌법연구관 급여, 공무원 급여 구성, 호봉별 급여, 공무원 수당, 복리후생비, 인사혁신처, 공무원 경력 발전